Introduction to Margin of Error
The crucial concept in statistics and research that indicates the degree of uncertainty associated with survey results or statistical estimates. Essentially, it quantifies the potential error in a sample-based estimate, providing a range within which the true population parameter is expected to lie. For instance, if a poll indicates that 60% of voters favor a particular candidate, a margin of error of ±3% would imply that the actual support may range from 57% to 63%.
This statistical measure margin of error formula essential for understanding the reliability of data derived from surveys, experiments, or observational studies. It helps researchers, analysts, and decision-makers gauge the precision of their estimates. Importantly, the margin of error is influenced by the sample size; larger samples typically result in smaller margins of error due to enhanced representation of the population. Conversely, smaller sample sizes yield greater margins of error, indicating a higher potential for deviation from the true population values.
Utilizing is fundamental across various fields, including political polling, market research, and public health studies. For example, it allows policymakers to assess public opinion with a specified level of confidence and serves as a guide for understanding the likely range of data points when making informed decisions. It is vital to note that while the margin of error provides insight into the reliability of statistics, it does not account for biases or errors resulting from survey methodology which can further impact the interpretation of the results.
The is a critical component in statistics, primarily because it quantifies the uncertainty inherent in survey results, polling data, and scientific studies. Essentially, the margin of error provides a range within which the true value or proportion is likely to lie, acknowledging that no sample can perfectly represent an entire population. This factor is particularly significant in the realm of public opinion polls, where the margin of error can influence the interpretation of electoral outcomes and the public’s perception of candidate viability.
In surveys, a smaller typically indicates a more reliable estimate of public sentiment. For instance, if a poll indicates that 60% of respondents favor a certain policy with a margin of error of plus or minus 3%, this suggests that actual support could realistically be anywhere from 57% to 63%. Such clarity allows policymakers and stakeholders to make better-informed decisions, largely shaping policy formulations and strategic planning.
Moreover, understanding the margin of error becomes crucial during debates and discussions surrounding contentious issues. Decision-makers, reporters, and the public alike benefit from grasping how data is contextualized within these statistical parameters. Without this knowledge, one might overinterpret a poll’s findings or misjudge the extent of public support for policies or candidates. Therefore, not only aids in statistical understanding but enhances the credibility of findings, thus influencing public perceptions significantly.
In academic and professional circles, the serves as a reminder of the limits of our knowledge and the necessity for cautious interpretation of data. This aspect is essential for fostering a culture of informed debate and discourse, thereby reinforcing the integrity of statistical analysis in various fields.
Components of the Margin of Error Formula
Theis a vital statistical tool utilized to estimate the reliability of survey results. Understanding its components is crucial for interpreting results accurately. The primary elements involved include sample size, population size, confidence level, and standard deviation.
Sample Size refers to the number of observations or participants included in a survey or study. A larger sample size generally results in a lower margin of error, providing more reliable estimates of the population. This relationship illustrates the principle that increased data points lead to enhanced accuracy in statistical inference.
Population Size represents the complete set of individuals or items being studied. While the population size does not directly influence the margin of error when the sample size is large, it is an essential context factor. A small population may require a different approach to ensure the sample sufficiently represents it, especially in specialized or niche fields.
The Confidence Level indicates the degree of certainty that the true population parameter lies within the . Typically expressed as a percentage (e.g., 95% or 99%), a higher confidence level will result in a larger margin of error, as it necessitates a broader range to ensure that the true value is captured within that interval.
Lastly, Standard Deviation measures the dispersion of data points in a dataset. A high standard deviation implies greater variability within the data, leading to a wider margin of error. Conversely, a low standard deviation suggests that the data points cluster closely around the mean, resulting in a narrower margin of error.
By comprehensively understanding these components, researchers and analysts can better interpret the implications of the, enabling more informed decision-making based on statistical analyses.
The Margin of Error Formula Explained
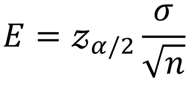
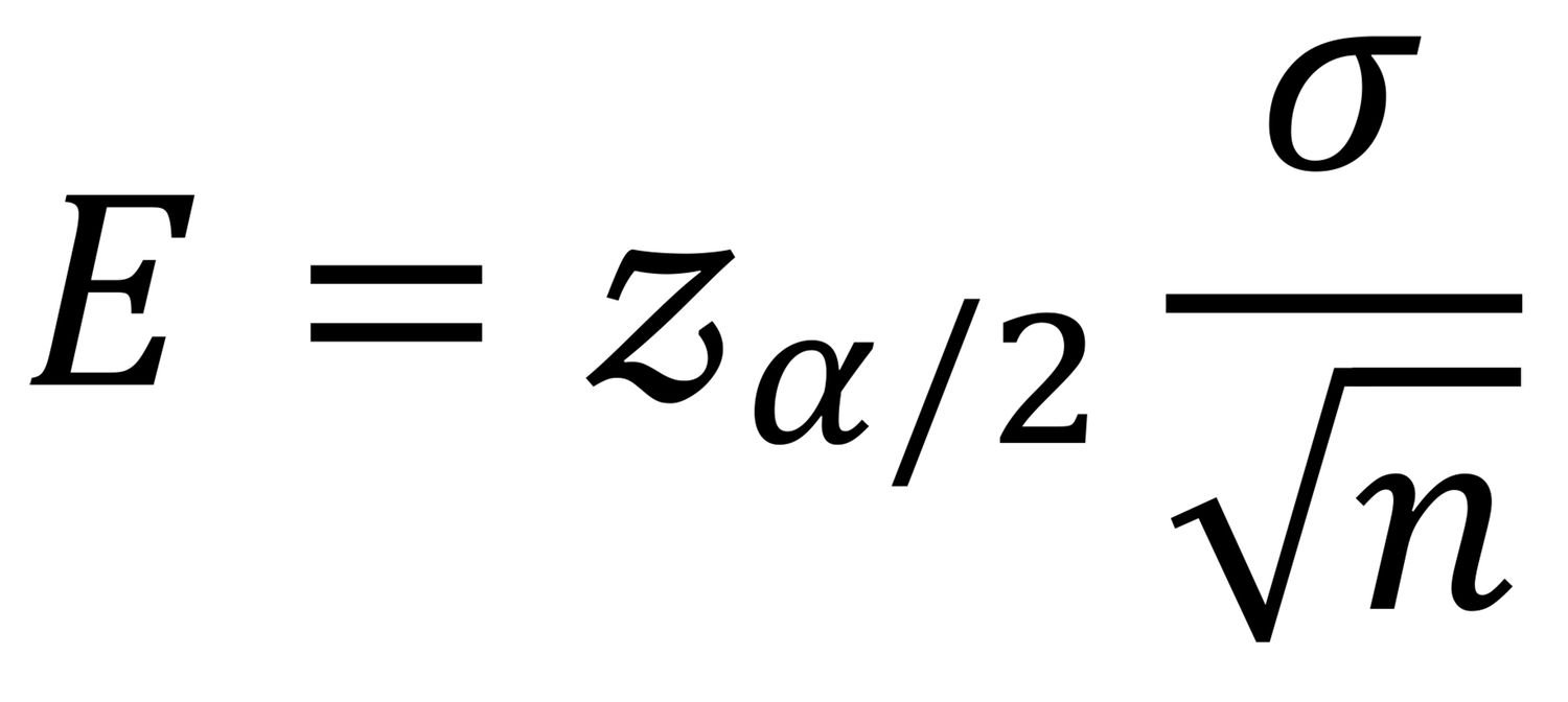
The (MOE) is a critical component in statistical analysis, reflecting the degree of uncertainty in survey results. The formula to calculate the margin of error primarily depends on the sample size and the confidence level. The most common formula is expressed as:
Margin of Error = Z * (σ / √n)
In this formula, Z represents the Z-score corresponding to the desired confidence level, σ is the population standard deviation, and n is the sample size. To implement this formula, one must follow several steps.
First, choose the desired confidence level, commonly set at 90%, 95%, or 99%. A higher confidence level means that the results are more reliable but also increases the margin of error. The corresponding Z-scores for these levels are approximately 1.645, 1.96, and 2.576, respectively.
Next, determine the population standard deviation, either from previous research or by estimating it based on available data. If the population standard deviation is unknown and the sample size is small, you may use the sample standard deviation.
Lastly, ascertain the sample size, which will affect the precision of the results. Using these three elements, one can calculate the margin of error.
For instance, let’s say a survey with a sample size of 400 results in a standard deviation of 50. Using a 95% confidence level, the Z-score is 1.96. Plugging into the formula:
= 1.96 * (50 / √400) = 1.96 * 2.5 = 4.9.
This indicates that, in this case, the survey results could deviate by approximately ±4.9 units from the true population mean, providing clarity on the reliability of the findings.
Calculating Margin of Error: Step-by-Step Guide
Calculating is a crucial step in understanding the precision of survey results and statistics. This guide will walk you through the necessary steps to calculate the margin of error effectively.
First, it is essential to understand a few key components. (MOE) is influenced by the sample size (n), the population proportion (p), and the confidence level (Z) you wish to apply, often expressed as a decimal. The formula for margin of error is generally expressed as:
= Z * √((p(1-p))/n)
Step 1: Determine Your Sample Size (n)
Start with identifying the total number of participants in your sample. The larger the sample size, the smaller your margin of error will typically be.
Step 2: Estimate the Population Proportion (p)
Based on your sample results, estimate the proportion of individuals that exhibit the characteristic of interest. For instance, if 40 out of 100 sampled individuals support a policy, your proportion would be 0.4.
Step 3: Choose a Confidence Level
Select a confidence level that reflects how confident you want to be about your results. Common confidence levels include 90%, 95%, and 99%. The Z-scores corresponding to these confidence levels are approximately 1.645, 1.96, and 2.576, respectively.
Step 4: Plug Values into the Formula
Insert your values for Z, p, and n into the margin of outlined earlier. This will yield the margin of error.
Step 5: Interpret the Results
The final result will indicate the range within which you can expect the true population proportion to fall. For example, if your margin of error is ±3%, and your sample proportion is 40%, you can say with your chosen confidence that between 37% and 43% of the population supports the policy.
Be mindful of common pitfalls, such as using an inappropriate sample size or misinterpreting the confidence level, which may lead to inaccurate results. By following these steps carefully, you can effectively calculate the margin of error and better understand the implications of your data.
Real-World Applications of the Margin of Error
The fundamental concept utilized across various fields to interpret the accuracy of survey results and statistical data. One prominent application is in political polling, where it helps to assess the reliability of candidate support estimates. For instance, if a poll shows a candidate with a 45% approval rating and a margin of error of ±3%, it indicates that the actual approval rating could reasonably fall anywhere between 42% and 48%. This is crucial for political analysts and campaign strategists as it impacts decision-making and strategies prior to an election.
In market research, organizations leverage the to gauge consumer preferences and behaviors accurately. By conducting surveys with a known margin of error, businesses are better equipped to understand the potential demand for a new product. For example, if a company projecting a 60% purchase intent for a new item learns that the margin of error is ±5%, they recognize that actual intent may vary widely, affecting inventory and marketing efforts.
Quality control in manufacturing also heavily relies on the margin of error. In this context, it is employed to assess product defects or deviations from standards. If a feature on a production line has a tolerance margin of error, it assists engineers in determining if the final products meet quality benchmarks. For instance, if a part’s acceptable dimensions are 10 mm ± 0.5 mm, any production outside this range is flagged for review, thus ensuring quality assurance.
Additionally, in scientific research, margin of error signifies how much uncertainty exists in experimental results. Researchers present findings with their associated margins of error to communicate the is reliability of data interpretations. Consider a climate study that reports a temperature increase of 2°C with a margin of error of ±0.1°C; this shows serious implications regarding climate predictions and policy-making. Thus, across various sectors, the margin of error plays a vital role in allowing stakeholders to understand and interpret data more effectively.
Common Misconceptions About Margin of Error
Margin of error is often misunderstood, leading to several misconceptions that can influence how statistical data is interpreted. One prevalent misconception is that the margin of error represents a failure in the survey or study design. In reality, the margin of error is a statistical tool that quantifies uncertainty within the results of a sample survey. It is a standard component of reputable research practices and helps to measure the accuracy of estimates derived from surveys.
Another common misunderstanding is the assumption that a smaller margin of error always means better results. While a smaller margin indicates a more precise estimate, it does not intrinsically guarantee that the sample is representative of the population. The accuracy depends significantly on the sampling method used and the inherent variability within the population. Therefore, researchers should not only focus on achieving a narrow margin of error but also ensure that the sample is both random and representative.
Some people confuse margin of error with confidence levels, believing they are the same. Margin of error indeed provides a range of values within which the true value is expected to fall, while confidence level indicates how certain we are that this interval contains the true population parameter. Thus, they serve different purposes: the margin of error quantifies uncertainty, whereas confidence levels reflect the degree of certainty associated with that measurement.
Moreover, some misinterpret the margin of error as applicable to individual responses rather than the aggregate results of the sample. It is crucial to understand that this statistical measure applies to the overall findings from a sample rather than guaranteeing the precision of each individual response. Correctly grasping these essential aspects of margin of error is vital for anyone engaging with statistical data, as it enhances informed decision-making and analysis.
Improving Precision in Research through Managing Margin of Error
The margin of error is a critical factor in the accuracy of research and survey results. Reducing this value can significantly enhance the precision of the findings. Several strategies can be utilized to manage and reduce the margin of error, thus leading to more reliable outcomes.
One of the most effective methods to decrease the margin of error is to increase the sample size. A larger sample size typically leads to a more representative subset of the population, which in turn minimizes variability and enhances the reliability of results. When the sample size is increased, the standard error decreases, resulting in a smaller margin of error for the confidence interval. Thus, researchers are encouraged to calculate the ideal sample size based on the desired precision level prior to data collection.
Additionally, employing more rigorous sampling techniques can contribute to the reduction of margin of error. Techniques such as stratified sampling or systematic sampling allow researchers to select participants more effectively, ensuring that various demographics within the population are adequately represented. By understanding the population’s characteristics and employing appropriate segmentations, researchers can further minimize bias and inaccuracies in their data.
Moreover, careful selection of data collection methods plays an essential role in managing margin of error. Utilizing validated and reliable instruments for surveys, such as properly formulated questionnaires, can greatly enhance data accuracy. Furthermore, considering the mode of data collection—whether online, face-to-face, or through phone interviews—can also influence response rates and data quality.
In summary, managing the margin of error is vital for researchers aiming to produce precise and credible results. By increasing sample size, using improved sampling techniques, and selecting appropriate data collection methods, the overall accuracy of research outcomes can be significantly enhanced. These measures collectively contribute to better data integrity and a clearer understanding of research findings.
Conclusion: The Role of Margin of Error in Data Interpretation
In conclusion, the margin of error formula is a vital concept in the realm of data interpretation. It serves as a crucial indicator of the potential inaccuracy inherent in survey results or statistical findings. By understanding this statistical metric, researchers and analysts can better evaluate the reliability of data and the conclusions drawn from it. The margin of error provides a snapshot of the possible range within which the true values of a population parameter may lie, thereby empowering stakeholders to make informed decisions based on empirical evidence.

A comprehension of the margin of error is particularly critical in fields that rely heavily on data-driven conclusions, including social sciences, market research, and public health. It allows researchers to articulate the uncertainty associated with their estimates and helps to communicate the limitations of their findings to the audience. Awareness of the margin of error thus promotes transparency and fosters trust in the reported data.
Furthermore, the role of margin of error extends beyond mere statistical calculations; it shapes the narrative surrounding the data and influences public perception. In a world saturated with information, being able to discern between statistically significant results and those obscured by high margins of error can inform policy decisions and direct future research efforts. As such, embracing a thorough understanding of the margin of error ensures that researchers do not overstate conclusions, thereby contributing to the body of knowledge with integrity and precision.

